Hallo,
ich mache hier mal ein Thema für alle Uranus R Besitzer / Besteller auf.
Ich habe meinen Anfang Februar bestellt und warte sehnsüchtig, dass er endlich aus einem Container rollt...
Zuletzt wurde ich auf Anfang Mai vertröstet.
Hat schon jemand einen Uranus R?
Hier können wir ja Infos dazu austauschen.
Grüße
Kai
Uranus R
-
KaiAusH
- Beiträge: 21
- Registriert: Do 3. Mai 2018, 10:08
- Roller: Uranus R
- PLZ: 30
- Kontaktdaten:
-
KaiAusH
- Beiträge: 21
- Registriert: Do 3. Mai 2018, 10:08
- Roller: Uranus R
- PLZ: 30
- Kontaktdaten:
Re: Uranus R
Gestern war es endlich so weit, ich konnte meinen Uranus R abholen!
Aus dem Liefertermin im März wurde Anfang Mai wurde Anfang Juni, wurde Mitte Juni, wurde Ende Juni und der Frust wurde größer und größer.
Aber nun überwiegt erstmal die Freude am lautlosen Rollern auf einem der ersten Uranus R.
Ich habe ihn direkt in Meinersen bei Trinity abgeholt und wurde bevor es los ging nochmals in alles eingewiesen.
(Es herrschte übrigens reges Treiben, mindestens 4 Mitarbeiter waren am Arbeiten)
Nicht alle Features des Rollers waren mir vorher 100% klar. Nun freue ich mich über LED Beleuchtung, Boost-Modus, Rückwärtsgang, etc...
Dann habe ich mich auf den 53km langen Heimweg gemacht und bin mit 53km Restreichweite gestartet.
Um nicht liegen zu bleiben bin ich die erste halbe Stunde im Eco-Modus gefahren (50km/h). Als sich dann abzeichnete, dass ich so gut ankommen würde habe ich aufgedreht - da macht das ganze schon mehr Spaß!
Hoffe die Freude bleibt lange erhalten...
Gruß
Kai
Aus dem Liefertermin im März wurde Anfang Mai wurde Anfang Juni, wurde Mitte Juni, wurde Ende Juni und der Frust wurde größer und größer.
Aber nun überwiegt erstmal die Freude am lautlosen Rollern auf einem der ersten Uranus R.
Ich habe ihn direkt in Meinersen bei Trinity abgeholt und wurde bevor es los ging nochmals in alles eingewiesen.
(Es herrschte übrigens reges Treiben, mindestens 4 Mitarbeiter waren am Arbeiten)
Nicht alle Features des Rollers waren mir vorher 100% klar. Nun freue ich mich über LED Beleuchtung, Boost-Modus, Rückwärtsgang, etc...
Dann habe ich mich auf den 53km langen Heimweg gemacht und bin mit 53km Restreichweite gestartet.
Um nicht liegen zu bleiben bin ich die erste halbe Stunde im Eco-Modus gefahren (50km/h). Als sich dann abzeichnete, dass ich so gut ankommen würde habe ich aufgedreht - da macht das ganze schon mehr Spaß!
Hoffe die Freude bleibt lange erhalten...
Gruß
Kai
- Systray
- Beiträge: 786
- Registriert: Di 3. Jul 2018, 16:43
- Roller: NITO NES 10, "Uranus R 2018 verkauft"
- PLZ: 70
- Kontaktdaten:
Re: Uranus R
Hallo Kai,
wie sind denn Deine Erfahrungen bis jetzt mit dem aktuellen (2018) Uranus R ?
Wäre schön wenn Du was dazu schreiben könntest, bzw. wenn sonst noch jemand der den 2018er Uranus R fährt sich hier beteiligt.
VG
Tom
wie sind denn Deine Erfahrungen bis jetzt mit dem aktuellen (2018) Uranus R ?
Wäre schön wenn Du was dazu schreiben könntest, bzw. wenn sonst noch jemand der den 2018er Uranus R fährt sich hier beteiligt.
VG
Tom
Zuletzt geändert von Systray am Sa 18. Aug 2018, 14:40, insgesamt 1-mal geändert.
-
KaiAusH
- Beiträge: 21
- Registriert: Do 3. Mai 2018, 10:08
- Roller: Uranus R
- PLZ: 30
- Kontaktdaten:
Re: Uranus R
Hallo,
hier meine ersten Erfahrungen mit dem UranusR:
Es macht mir nach wie vor großen Spaß durch die Stadt zu surren!
Auch wenn es mal ein Stück über den Schnellweg geht (dort sind 80km/h erlaubt) fühle ich mich wohl.
Eine Fahrt über die umliegenden Dörfer (20km hin, 20km zurück) hat mir ein Grinsen ins Gesicht gezaubert.
Woanders wurde über störendes Klappern berichtet - das ist bei mir (noch?) nicht so. Klar, man hört das ein oder andere, was vermutlich beim Verbrenner einfach vom Motor übertönt worden wäre, aber alles im Rahmen.
Die Fahrprofile finde ich auch klasse. Ich habe die drei Modi so eingestellt:
1: Eco-Mode: reduzierte Beschleunigung, ~55km/h. Falls es mal eng wird mit dem Akku.
2: Stadt-Mode: volle Beschleunigung, ~60km/h. Dann braucht man nicht auf den Tacho schielen und fährt immer Vollgas
3: offen: alles was geht.
Schade nur dass die limitierte Geschwindigkeit bei vollem Akku eine andere ist als bei halb-vollen oder leerem Akku...
Wovon ich mir mehr versprochen hätte ist die Beschleunigung.
Mein Vergleich ist eine 125er Vespa. Damit habe ich beim Ampelstart problemlos alles locker hinter mir gelassen.
Das ist mit dem UranusR nicht so. Da lasse ich das Vordrängeln an der roten Ampel lieber sein. Er beschleunigt nur leicht schneller als der Durschnittsdödel der an der Ampel los rollt. Legt es ein PKW drauf an, habe ich keine Chance. Heute hatte ich sogar Mühe einem 7.5-Tonner davon zu kommen. Ich hoffe der war wenigstens leer...
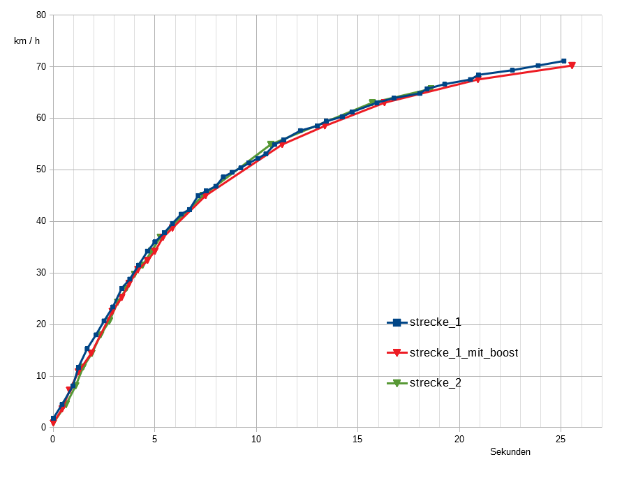
Ich habe mal einen Plot gemacht um zu sehen, wie der UranusR beschleunigt.
Zu sehen ist die korrigierte Tachogeschwindigkeit. Ich hab mal einfach Faktor 0.9 genommen, ich meine ich hätte das irgendwo gelesen...
Also von 0 auf 50 in ~9s und danach wird's zäh.
Das schafft ein Golf in 3s.
Der Boost-Knopf bewirkt leider überhaupt nichts.
Der Akku war bei dem Test etwa auf 80%.
Auch dass die Rekuperation nicht funktioniert (siehe anderer Thread) ist schade. Vielleicht wird das ja noch was, wenn man die Dioden-Box umgeht...
Zur Beleuchtung kann ich noch nichts sagen, ich bin noch nicht im Dunkeln gefahren.
Den schmalen Lenker finde ich deutlich praktischer als den ausladenden Lenker vom Neptun, auch wenn der Wendekreis überraschend groß ist.
Insgesamt bereue ich den Kauf nicht und bin froh, dass ich keinen 45km/h Roller habe.
Ich hoffe die gute Laune hält sich...
Viele Grüße
Kai
hier meine ersten Erfahrungen mit dem UranusR:
Es macht mir nach wie vor großen Spaß durch die Stadt zu surren!
Auch wenn es mal ein Stück über den Schnellweg geht (dort sind 80km/h erlaubt) fühle ich mich wohl.
Eine Fahrt über die umliegenden Dörfer (20km hin, 20km zurück) hat mir ein Grinsen ins Gesicht gezaubert.
Woanders wurde über störendes Klappern berichtet - das ist bei mir (noch?) nicht so. Klar, man hört das ein oder andere, was vermutlich beim Verbrenner einfach vom Motor übertönt worden wäre, aber alles im Rahmen.
Die Fahrprofile finde ich auch klasse. Ich habe die drei Modi so eingestellt:
1: Eco-Mode: reduzierte Beschleunigung, ~55km/h. Falls es mal eng wird mit dem Akku.
2: Stadt-Mode: volle Beschleunigung, ~60km/h. Dann braucht man nicht auf den Tacho schielen und fährt immer Vollgas
3: offen: alles was geht.
Schade nur dass die limitierte Geschwindigkeit bei vollem Akku eine andere ist als bei halb-vollen oder leerem Akku...
Wovon ich mir mehr versprochen hätte ist die Beschleunigung.
Mein Vergleich ist eine 125er Vespa. Damit habe ich beim Ampelstart problemlos alles locker hinter mir gelassen.
Das ist mit dem UranusR nicht so. Da lasse ich das Vordrängeln an der roten Ampel lieber sein. Er beschleunigt nur leicht schneller als der Durschnittsdödel der an der Ampel los rollt. Legt es ein PKW drauf an, habe ich keine Chance. Heute hatte ich sogar Mühe einem 7.5-Tonner davon zu kommen. Ich hoffe der war wenigstens leer...
Ich habe mal einen Plot gemacht um zu sehen, wie der UranusR beschleunigt.
Zu sehen ist die korrigierte Tachogeschwindigkeit. Ich hab mal einfach Faktor 0.9 genommen, ich meine ich hätte das irgendwo gelesen...
Also von 0 auf 50 in ~9s und danach wird's zäh.
Das schafft ein Golf in 3s.
Der Boost-Knopf bewirkt leider überhaupt nichts.
Der Akku war bei dem Test etwa auf 80%.
Auch dass die Rekuperation nicht funktioniert (siehe anderer Thread) ist schade. Vielleicht wird das ja noch was, wenn man die Dioden-Box umgeht...
Zur Beleuchtung kann ich noch nichts sagen, ich bin noch nicht im Dunkeln gefahren.
Den schmalen Lenker finde ich deutlich praktischer als den ausladenden Lenker vom Neptun, auch wenn der Wendekreis überraschend groß ist.
Insgesamt bereue ich den Kauf nicht und bin froh, dass ich keinen 45km/h Roller habe.
Ich hoffe die gute Laune hält sich...
Viele Grüße
Kai
- Systray
- Beiträge: 786
- Registriert: Di 3. Jul 2018, 16:43
- Roller: NITO NES 10, "Uranus R 2018 verkauft"
- PLZ: 70
- Kontaktdaten:
Re: Uranus R
Endlich ist auch mein Uranus R gekommen und ich bin fleissig am ausprobieren und testen.
Für den Uranus R habe ich mich nach längerer Recherche und diversen Probefahrten entschieden, da er ein gutes Preis-/Leistungsverhältnis im Vergleich zu Rollern mit vergleichbaren techn. Daten hat, mir sein Design gefällt und er über einen programmierbaren Controller verfügt.
Die Kommunikation vor der Bestellung mit Trinity via Mail und Telefon lief gut und die beiden Trinity-Vertragswerkstätten in der Umgebung haben sich weitgehend positiv zu der Qualität der Roller geäussert.
Also in KW29 bestellt und in KW35 war er schon da.
Für den Uranus R habe ich mich nach längerer Recherche und diversen Probefahrten entschieden, da er ein gutes Preis-/Leistungsverhältnis im Vergleich zu Rollern mit vergleichbaren techn. Daten hat, mir sein Design gefällt und er über einen programmierbaren Controller verfügt.
Die Kommunikation vor der Bestellung mit Trinity via Mail und Telefon lief gut und die beiden Trinity-Vertragswerkstätten in der Umgebung haben sich weitgehend positiv zu der Qualität der Roller geäussert.
Also in KW29 bestellt und in KW35 war er schon da.
Wer ist online?
Mitglieder in diesem Forum: 0 Mitglieder und 22 Gäste